bat365中文官方网站风工程团队在《Nature》子刊发表研究论文 | 湍流中谐波振荡翼型的气动响应

2025-10-09 12:45:40 来源:土木工程学院 分类: 阅读量:


2025年9月29日,《Nature》旗下首个工程领域子刊《Communications Engineering》在线发表了土木工程学院风工程团队的最新研究成果《Insights into the aerodynamic response of a harmonic oscillating airfoil in various turbulent flows》,博士生赵勇飞为第一作者,李明水教授和杨阳老师为共同通讯作者。该研究,系统性地揭示了湍流对振荡翼型非定常气动特性的影响机理,为风能、低空经济和大跨度桥梁设计等工程领域提供了理论基础。

论文信息

作者:赵勇飞、李明水、杨阳

期刊:Communications Engineering

论文链接:https://doi.org/10.1038/s44172-025-00503-5


研究内容

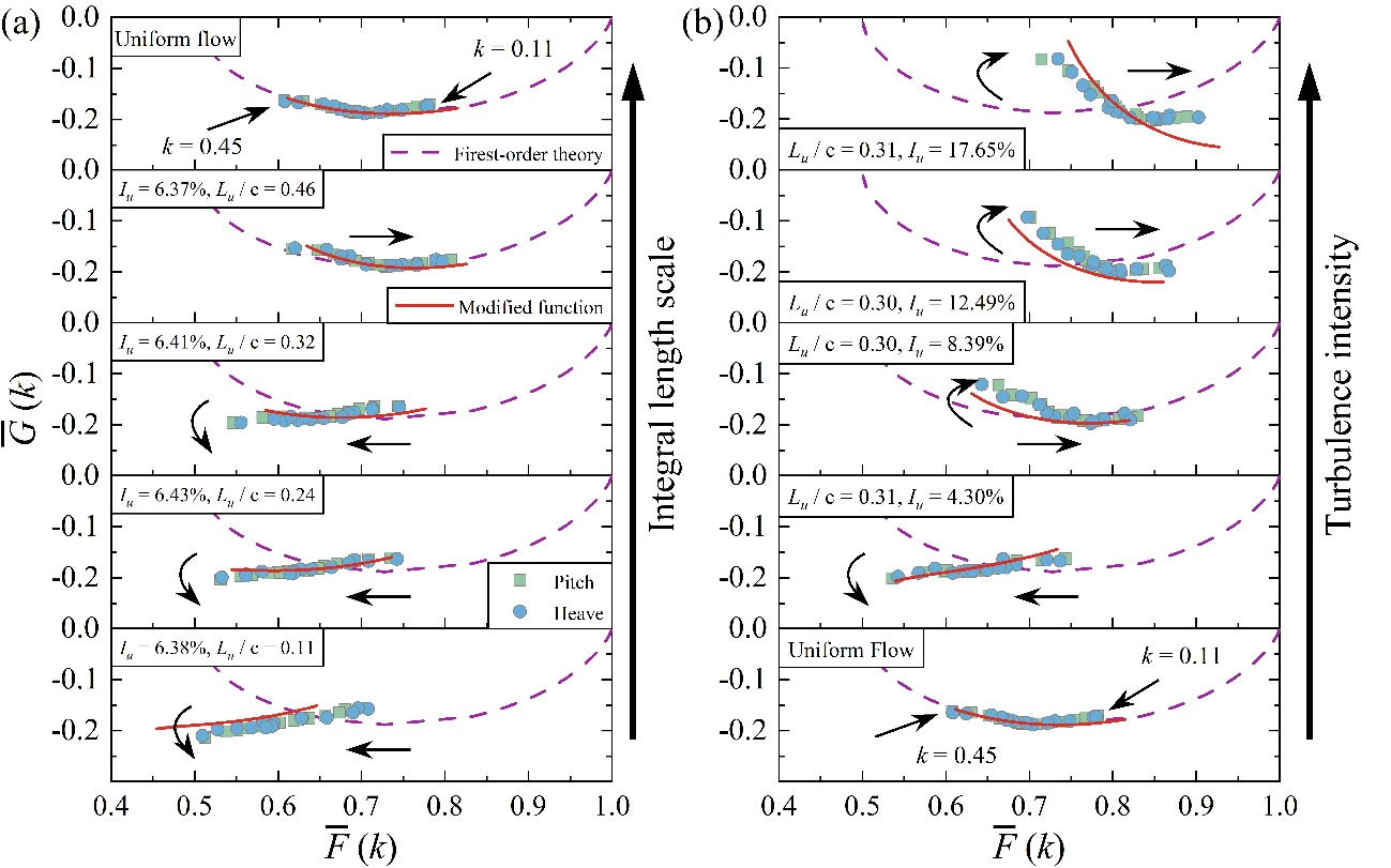
均匀来流下非定常气动力和颤振经典理论已经应用近百年。鉴于近年来风能、航空航天和土木工程技术的迅猛增长,人们越来越关注在湍流中振动结构的非定常气动性能。目前的大多数研究仍然基于势流理论获得翼型的气动力,这些模型已通过实验得到充分证明在均匀流条件下是有效的。然而,目前尚不清楚湍流及其与翼型的相互作用是否会导致传统的气动模型失效,以及在湍流条件下它将如何变化。本研究分析了湍流强度和尺度比对振荡翼型特性的影响。此外,湍动能和相关性与这两个主要成分密切相关。结果表明,随着湍流强度的增加,注入的能量更多,导致非定常升力幅度更大。在湍流中,较小的尺度比会降低相关性,导致升力幅度减小。湍流也可能导致传递函数偏离其理论值,即Theodorsen函数。这项工作检查和评估了湍流对振荡翼型的影响。该结果可作为气动分析的基础,以检查湍流中翼型的稳定性。